
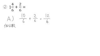
仮分数と帯分数
小4
全9本
全28問
学習のねらい
【小学算数】小4で学習する「仮分数と帯分数」の単元です。仮分数、真分数、帯分数の違いを理解し、仮分数を帯分数に、帯分数を仮分数に相互に変換する方法を学びます。等しい分数の概念や、仮分数・帯分数を使った足し算、引き算もしっかり習得できます。
動画一覧
サムネイルを押すと視聴ページへ移動します







