
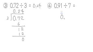
小数÷整数
小4
全10本
全33問
学習のねらい
【小学算数】小4で学習する「小数÷整数」の単元です。小数÷整数の筆算の基本から、÷2けたの計算、わり切るまで計算する方法を習得。さらに、がい数で答える計算、小数倍におけるくらべられる数や何倍かを求める方法も学習します。
動画一覧
サムネイルを押すと視聴ページへ移動します








