教科一覧 中学数学 加法と減法

加法と減法

中1 数と式 全9本 全32問

学習のねらい

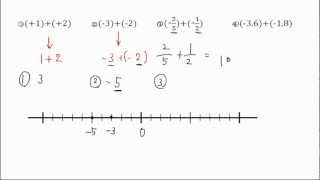
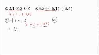
【中学数学】中1で学習する「加法と減法」の単元です。この単元では、同符号・異符号どうしの足し算や、加法の交換法則・結合法則を学びます。さらに、正負の数の引き算、そして足し算と引き算が混じった複雑な計算まで、確実に解けるようになるための基本から応用までを習得します。

動画一覧

サムネイルを押すと視聴ページへ移動します