式と乗法公式

中3 数と式 全12本 全38問

学習のねらい

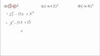
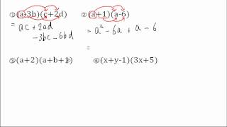
【中学数学】中3で学習する「式と乗法公式」の単元です。文字の入った分配法則や除法を使った式の展開から始め、(a+b)(c+d)の展開を学習。さらに、(x+a)(x+b)、(x±a)^2、(x+a)(x-a)の乗法公式を理解し、係数のある項や置き換えを使った応用展開まで詳しく解説します。

動画一覧

サムネイルを押すと視聴ページへ移動します