
因数分解
中3
数と式
全10本
全33問
学習のねらい
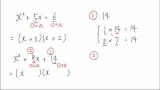
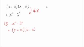
【中学数学】中3で学習する「因数分解」の単元です。共通因数でくくる方法を習得し、公式(x+a)(x+b)型、(x±a)^2型、(x+a)(x-a)型を用いた因数分解を学びます。さらに、公式の使い分けや、共通因数と公式の組み合わせ、おきかえを利用した応用問題まで網羅的に解説します。
動画一覧
サムネイルを押すと視聴ページへ移動します








