乗法と除法

中1 数と式 全12本 全30問

学習のねらい

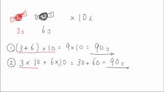
【中学数学】中1で学習する「乗法と除法」の単元です。正負のかけ算、正負の割り算といった基本計算から、累乗の考え方、交換法則・結合法則・分配法則の活用法を学びます。四則の混じった計算を正確に行う方法を解説。

動画一覧

サムネイルを押すと視聴ページへ移動します