二次方程式

中3 数と式 全10本 全30問

学習のねらい

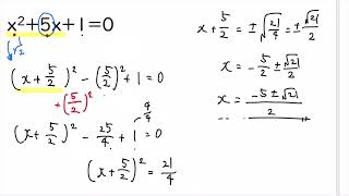
【中学数学】中3で学習する「二次方程式」の単元です。「二次方程式ってなに?」という基本から、因数分解、平方根、解の公式、平方完成の4つの解き方を徹底的に学びます。それぞれの方法を使って二次方程式を解く手順や問題を演習し、様々な二次方程式が解けるようになるまでを網羅します。

動画一覧

サムネイルを押すと視聴ページへ移動します