教科一覧 中学数学 文字式の計算(1年)

文字式の計算(1年)

中1 数と式 全10本 全30問

学習のねらい

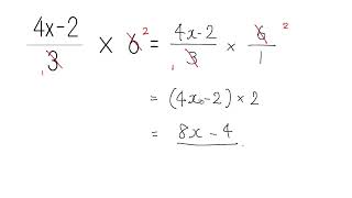
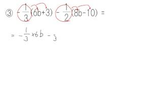
【中学数学】中1で学習する「文字式の計算(1年)」の単元です。この単元では、項と係数の概念を理解し、文字式の加減乗除、かっこの処理、分配法則を使った計算を習得します。分数を含む文字式の扱い方や加減乗除が混じった計算、不等式についても具体的に解説します。

動画一覧

サムネイルを押すと視聴ページへ移動します