1次不等式

高校 数と式 全9本 全38問

学習のねらい

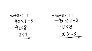
【高校数学】高1で学習する「1次不等式」の単元です。不等式とその性質、1次不等式の解き方を基礎から学び、分数や小数を含む不等式、連立不等式、絶対値を含む不等式の解法を習得します。不等式の応用問題演習を通じて、実践的な問題解決能力を高めます。

動画一覧

サムネイルを押すと視聴ページへ移動します