2次関数とグラフ②

高校 二次関数 全5本 全26問

学習のねらい

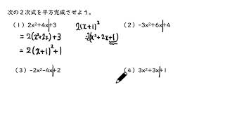
【高校数学】高1で学習する「2次関数とグラフ②」の単元です。y=ax^2+bx+cのグラフを平方完成を用いて描き、その頂点や軸などの性質を理解します。放物線の平行移動や対称移動のルールを学び、グラフがどのように変化するかを具体的に把握することで、2次関数のグラフへの理解を深めます。

動画一覧

サムネイルを押すと視聴ページへ移動します