2次方程式

高校 二次関数 全6本 全31問

学習のねらい

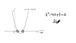
【高校数学】高1で学習する「2次方程式」の単元です。因数分解、平方根、解の公式を用いた解き方を解説し、実数解の個数を判別式で判断します。また、2次関数のグラフとx軸、放物線と直線の共有点の位置関係についても学びます。

動画一覧

サムネイルを押すと視聴ページへ移動します